
Trụ sở văn phòng chính: 101B Lê Hữu Trác - Phường An Hải - TP. Đà Nẵng.
0898.239888 - 0236.3831841 - Website: https://cfi.edu.vn/ - Fanpage: https://www.facebook.com/cfi.edu.vn
Phân hiệu tại Thành phố Hồ Chí Minh: 296 Lưu Hữu Phước - Phường Phú Định - TP. Hồ Chí Minh.
028.38776919 - Website: http://phanhieuhcm.cfi.edu.vn/
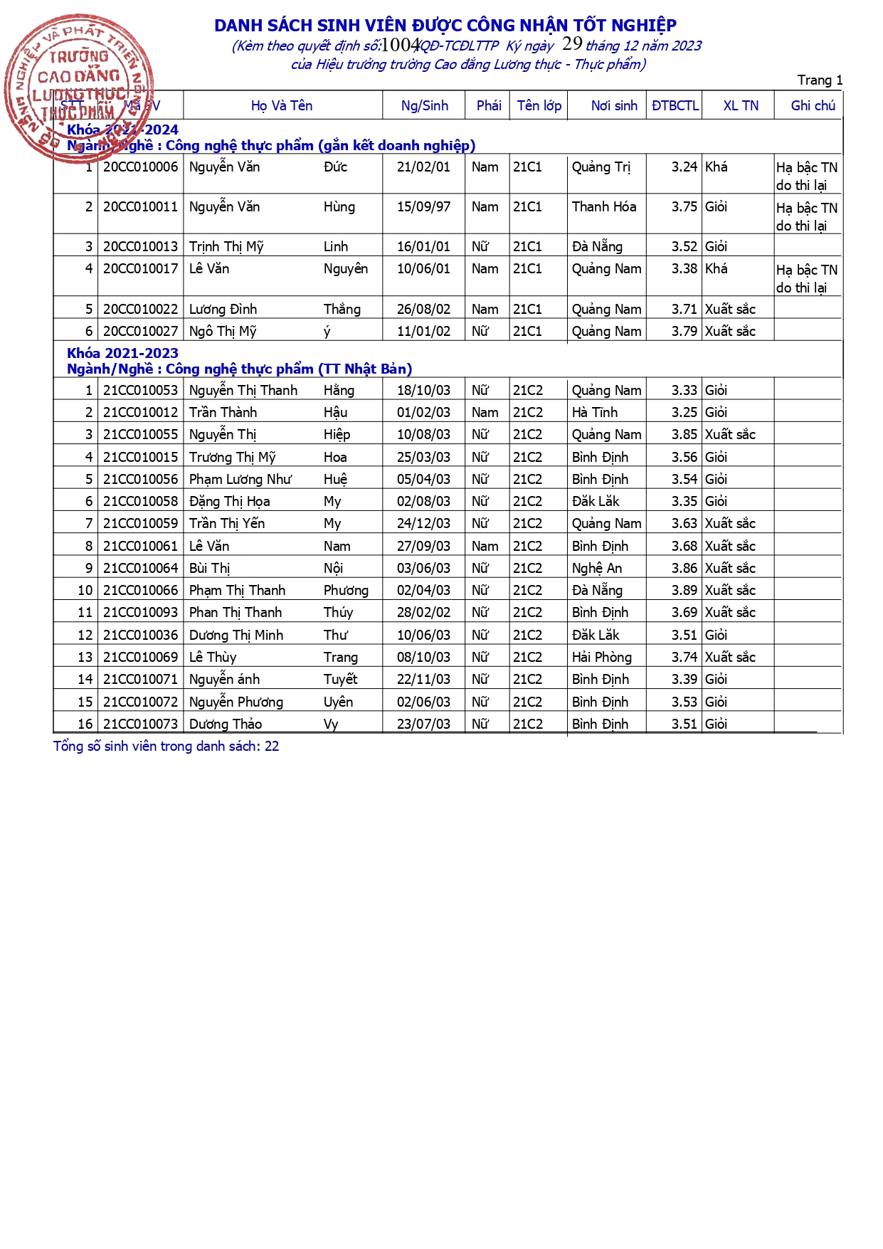
Quyết định công nhận tốt nghiệp trình độ cao đẳng hệ chính quy cho sinh viên - tháng 12 năm 2023

PHÒNG TUYỂN SINH
Điện thoại: 02363.831228
Email: tuyensinh@cfi.edu.vn